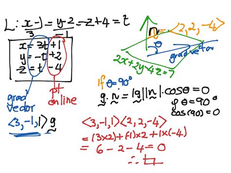
Ginger Cunningham Blog